본문 바로가기주요메뉴 바로가기

주메뉴

IBS Conferences

 

배터리 수명 줄이는 열화과정 원인 규명 게시판 상세보기
제목 배터리 수명 줄이는 열화과정 원인 규명
보도일 2020-08-05 09:25 조회 8268
연구단명 나노입자 연구단
보도자료 hwp 파일명 : 200805_[IBS 보도자료]_배터리 수명 줄이는 열화과정 원인 규명(나노입자  JACS).hwp 200805_[IBS 보도자료]_배터리 수명 줄이는 열화과정 원인 규명(나노입자 JACS).hwp
첨부 zip 파일명 : 200805_[IBS] 그림 및 사진.zip 200805_[IBS] 그림 및 사진.zip

배터리 수명 줄이는 열화과정 원인 규명

- IBS-고려대 공동연구, 온도에 따른 충‧방전 시 배터리 전극 구조 변화 관찰 -

스마트폰을 쓰다 보면 뜨거운 열이 발생한다. 이러한 과열은 배터리의 수명을 저하시키는 원인 중 하나다. 대부분 전자기기에 사용되는 리튬이온배터리는 충전 시 리튬이온이 음극으로 이동하여 음극 속으로 삽입되고, 사용할 땐(방전) 정반대의 반응이 일어난다. 충․방전 과정에서 발생하는 열이 배터리의 수명과 성능에 영향을 준다고 알려져 있지만, 분자 수준의 구조적․화학적 변화에 대해서는 아직 명확히 규명되지 않았다.

기초과학연구원(IBS, 원장 노도영) 나노입자 연구단 현택환 단장(서울대 석좌교수)과 성영은 부연구단장(서울대 교수) 연구팀은 유승호 고려대 화공생명공학과 교수팀과 함께 온도에 따른 리튬이온배터리 전극물질의 구조 변화를 관측하고, 배터리 열화과정의 근본 원인 규명에 성공했다.

연구진은 온도가 배터리 성능에 미치는 영향을 면밀히 분석하기 위한 실험을 설계했다. 우선, 이산화티타늄(TiO2)을 전극(음극)으로 사용하는 리튬이온배터리를 제조했다. 리튬이온배터리의 음극으로는 주로 흑연이 쓰인다. 그러나 이산화티타늄은 흑연보다 안정적인데다, 저렴하고 친환경적이어서 차세대 전극 소재로 각광받고 있다.

연구진은 충․방전 시 온도를 달리하며 X선 회절 분석법1)을 통해 이산화티타늄 전극 구조 변화를 관측했다. 그 결과, 구동 온도가 높아지면 상온에서 일어나지 않았던 새로운 리튬 저장 메커니즘이 진행됨을 밝혀냈다.

기존에는 배터리를 충전할 때 리튬이온(Li+)이 음극으로 이동해 이산화티타늄과 반응하여 상을 변화(Li0.55TiO2)시킨다고만 알려져 있었다. 하지만 분석결과 상온보다 20~30℃만 높아져도 1차 상변화 후 추가적인 2차 상변화(Li1TiO2)가 일어나는 것으로 밝혀졌다. 즉 고온이 아닌 전자기기 사용 시 발생하는 40℃ 수준의 온화한 열 조건에서도 예상치 않았던 추가 상변화가 발생한다는 것이다.

이어 연구진은 전자현미경을 이용해 2차 상변화에 따른 전극의 구조 변화를 관찰했다. 2차 상변화가 일어나면 에너지 장벽이 높아져 이산화티타늄 전극 내부에서 리튬이온이 이동하기 어려워진다. 마치 동맥경화처럼 전극 내에 리튬이온이 축적되다가, 충‧방전을 거듭하면 결국 이산화티타늄 격자 구조에 결함이 생겨 비가역적인 손실이 발생했다.

이번 연구는 IBS 나노입자 연구단(이산화티타늄 나노입자 전극 합성 및 배터리 설계)과 고려대 연구팀(배터리 열화과정 분석)의 협력연구를 통해 이뤄졌다. 배터리 안정성의 핵심인 열화과정의 원인을 분자 수준에서 규명한 만큼, 향후 차세대 배터리 설계에 새로운 방향을 제시할 것으로 기대된다.

유승호 교수는 “열 발생을 수반하는 에너지 장치의 배터리 설계에 있어 온도는 고려해야할 가장 중요한 요소 중 하나”라며 “온도가 높아지면 추가적인 상변화가 발생하며 배터리의 성능과 수명을 저하시키는 것을 확인했다”고 설명했다.

성영은 부연구단장은 “최근 전기자동차의 수요 급증과 함께 성능이 우수한 배터리 물질의 개발이 중요해졌다”며 “열에 의한 영향을 최소화할 수 있다면 용량이 높고 안정적인 동시에 오래 사용할 수 있는 차세대 배터리를 설계할 수 있을 것”이라고 덧붙였다.

연구결과는 화학분야 세계적 학술지인 미국화학회지(Journal of the American Chemical Society, IF 14.612) 8월 5일(현지시간)자에 게재됐다.

그림설명


[그림 1] 상온과 온화한 열 조건하에서 리튬이온배터리 구조 변화
▲ [그림 1] 상온과 온화한 열 조건하에서 리튬이온배터리 구조 변화연구진은 이산화티타늄 리튬이온배터리가 40~60℃의 온화한 열 조건에서 충․방전될 때 추가적인 상변화가 일어나며, 전극물질을 노화시키는 현상을 발견했다.


[그림 2] 고온 충방전 후 전극 구조 변화
▲ [그림 2] 고온 충방전 후 전극 구조 변화고온에서 일어나는 2차 상변화로 인해 전극으로 쓰인 이산화티타늄 나노입자가 잘개 쪼개지는 현상을 전자현미경을 통해 관측했다. 결과적으로 나노입자의 결함은 배터리의 성능에 직접적인 영향을 미치는 것으로 나타났다.


[그림 3] 상온과 고온에서 리튬이온배터리의 전기화학적 구동
▲ [그림 3] 상온과 고온에서 리튬이온배터리의 전기화학적 구동연구진은 상온(25℃, 왼쪽)과 고온(60℃, 오른쪽) 조건에서 이산화티타늄 리튬이온배터리의 전기화학적 성능을 비교했다. 위 그래프에서는 60℃에서 배터리를 충․방전할 때 1.5V 부근에서 추가적인 평탄전위와 peak가 발현되는 것을 확인할 수 있다. 이는 리튬이온의 2차 상변화로 인한 것으로, 상온에서와는 다르게 60℃에서 배터리를 구동하게 되면, 추가적인 상변화로 인해 배터리의 전기화학적 반응이 변한다는 것을 추론할 수 있다.


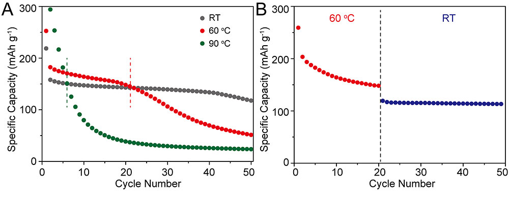
[그림 4] 서로 다른 열 조건하에서 리튬이온배터리 성능 비교
▲ [그림 4] 서로 다른 열 조건하에서 리튬이온배터리 성능 비교온도가 높아지면 발생하는 추가적인 상변화는 초반에는 배터리의 성능을 높인다. 리튬이온을 추가로 저장할 수 있기 때문이다. 하지만 충․방전을 거듭하면 결국 리튬이온이 전극 내부에 축적되며 전극의 결함과 노화를 촉진하고, 이로 인해 배터리의 성능이 급격히 떨어지게 된다.


1) X선 회절 분석법 : 결정격자를 통과한 X선(자외선보다 짧은 파장의 영역으로 파장이 10~0.01나노미터이다.) 회절의 결과를 해석해 결정 내부의 원자가 어떤 배열을 하고 있는지를 분석하는 방법.

  • [메디컬투데이] IBS, 배터리 수명 줄이는 열화과정 원인 규명
  • [뉴스핌] IBS-고려대, 배터리 수명 줄이는 열화과정 원인 규명
  • [연합뉴스] 충·방전 발열이 리튬이온 배터리 수명 떨어뜨리는 이유 밝혔다
  • [뉴스웍스] 배터리 수명 줄이는 열화과정 원인 규명
  • [전자신문] 배터리 수명 줄이는 '열화과정' 원인 찾았다
  • [IT조선] 충·방전 발열이 배터리 수명 줄이는 이유 찾았다
  • [대전일보] IBS, 배터리 과열 근본 이유 규명
  • [뉴시스] IBS, '배터리 수명 줄이는 열발생 근본원인 규명'…차세대 배터리 개발기여
  • [충청뉴스] IBS, 배터리 수명 줄이는 '열화과정' 원인 규명
  • [기계신문] IBS, 리튬이온배터리 전극물질 구조 변화 통해 배터리 열화과정 원인 규명
  • [금강일보] IBS, 배터리 수명 줄이는 열화과정 원인 규명
  • [이코노믹리뷰] 배터리도 열 받으면 수명 줄어…"40도만 돼도 동맥경화"
  • [헬로디디] 뜨거워지는 스마트폰···배터리 수명 저하 원인?
  • [뉴스프리존] IBS, 스마트폰 등 전자기기 배터리 성능·수명이 줄어드는 원인 규명
  • [전파신문] 충·방전시 리튬이온 배터리 수명 단축시키는 이유 밝혀
  • [아크로팬] IBS-고려대 공동연구, 온도에 따른 충?방전 시 배터리 전극 구조 변화 관찰
  • [매일경제] 충·방전 발열이 리튬이온 배터리 수명 떨어뜨리는 이유 밝혔다
  • [뉴스줌] IBS, '배터리 수명 줄이는 열발생 근본원인 규명'…차세대 배터리 개발기여
  • [뉴스픽] 충·방전 발열이 리튬이온 배터리 수명 떨어뜨리는 이유 밝혔다
  • [한국경제] 충·방전 발열이 리튬이온 배터리 수명 떨어뜨리는 이유 밝혔다
  • [에이티엔뉴스] IBS, 스마트폰 등 전자기기 배터리 성능·수명이 줄어드는 원인 규명
  • [이웃집과학자] 배터리 수명 줄이는 열화 과정 원인 규명
  • 만족도조사

    이 페이지에서 제공하는 정보에 대하여 만족하십니까?